PfeilPhysics

Theoretical Applied Electrodynamics

 


Discharge behavior of capacitor banks
with regard to my capacitorbank experiments

1. Inductance of conductors and busbars
__1.1 Inner and outer inductance
__1.2 Inductance Calculation of parallel wires
__1.3 Inductance of parallel conected wires
__1.4 Inductance Calculation of a step wire

2. Inductance of a frame
....2.1 Calculation with engineer formulas
....2.2 Experimental measurements of Inductance

3. Low Inductance Dicharge Circles with high voltage/ current Coaxial Cables
__3.1 Overview
__3.2 Inductance calculation of Coaxial Cables by using the speed of light
__3.3 Maximum operation voltage of Coaxial Cables
4. Discharge behavior of the capacitor bank KB1-KB2

....4.1 Selfinductance of the used parts
....4.2 Current distribution of KB1-KB2
....4.3 Current distribution inside KB2
5. Discharge Simulation of a Capacitor Bank Circle with a Sparc Gap Switch
....5.1 Toepler´s sparc gap equations
....5.2 Coupled Differential equations
....5.3 Numerical solutions and simulations

6. Conculsion and Improvements
 

Abstract:
On this side I want to discuss the Discharge behavior of capacitor banks. In many instituts and research laboratories I saw experiments dealing with large capacitor banks for pulse experiments (Pulse-Lasers, high magnetic field laboratories etc.).
In general there are working a lot of people together on this experiments. Physicists normally are not so interested in electrical engineering. Electrical engineers are normally not so interested in the real understanding of the components they are dealing with.
Here I want to look a little bit moore into the "small details", which do influence the discharge of pulse applications.

So, the main interest here is to understand how bussbars, load supply lines, contact resistance and geometric layouts do influence the resonance and discharge behavior of high voltage capacitor banks.

Max Bigelmayr, April 2011


1. Inductance of conductors and busbars

1.1 Inner and outer inductance
Every conductor has got a inductance depending on diameter, length, form and material. In general one can distinguish two kinds of inductance:
The inner inductance and the outside inductance. The sum of these two is the inductance, which gives us the relation of the energy created by the currentflow:
Energy of a wire





r' are all positions inside the wire
r are all positions uotside the wire

As we now from Biot-Savart the magnetic flux density is proportional to the current. So, any field vector in the room is created by all the current densities in the wires. If you want to calculate the whole magnetic energy in the suround of a wire you could calculate all the magnetic flux vectors and then integrate over the volume:
Biot Savart Wire Energy

But isn´t it horrible!? You would have to integrate over the whole room to get Eout. This seems to be very difficult. At which distance you could stop the Inegral. How much energy would be lost far away? There must exist annother solution to get the energy....
The Magnetic field is created by the current flow j(r'). If your wire is endless the magnetic field of the wire may be seperated into the inner and the outer area.

By using the Maxwell equations and Stokes law you`ll get the magnetic field inside the wire:

The current density of the wire is the quotient of the whole current I and the cross section A:

Therefore one can easily calculate the magnetic field inside the wire:

So, the magneic field inside the wire is

Outside of the wire you get

which is the well known Biot-Savart formula for a "long wire":

Inductance of a straight wire may be calculated by using intergration of the field energy density. One can show that the partial inductance of a wire is equal to [Grover, "Inductance calculation of coils"].

 

magnetic flux inside/outside a wire


1.2 Inductance Calculation of parallel wires (Method by using the Neumann-equation)
A parallel wire configuration one can find in nearly any kind of electronic devices. It´s the simplest way to transform electric energy from one point to another point. In experiments with capacitor banks it´s one possible way to bring the stored energy from the capacitors to the load. For some experiments it´s ok. But if the goal is to get a huge power peak, the large inductance of parallel wires will encrease the current rise time siginficant.
So let´s find the inductance we are dealing with in this case:

Let´s assume two wires in the form you can see in the following pictures. Between the parts l1 and l2 is a distance of d. .

Mutual inductance - current in same direction

Mutual inductance - current in opposite direction
mutual inductance current in same direction mutual inductance current in opposite direction
We can descirbe the parts l1 and l2 in the following form with respect to the currents in the wires:
The integral on the left and right side can be solved analytical so that we get
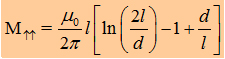
If we say that l1= l2 we get the the important formula for the mutual inductance of two wires:
Mutual Inductance between two wires

or annother writing is
If we assume that d<<l , we get the approximation

o
r if l is even longer

mutual inductance two wires


1.3 Inductance of parallel conected wires

parallel inductanceIf you connect two parallel conductors, the total inductance will decrease. But what happens there?
Maybe you learned in scool the formula to calculate the parallel inductance:

Isn´t it strange?? The energydensity is a skalar field, which is proportional to B(r)^2. But the magnetic field is allways the sum of all magnetic fields created by differnet sources.
This means B(ges)=B1+B2+B3+...Bn So, the the magnetic field at any point is proportional to the current, which creats the field via Biot-Savart law. If you split up the current into two or more wires, the magentic field in the room is not that strong as before. So the volumeintegral over the energy density in the whole volume is lower in applications where cables are splitted up into several cables. This is a very usefull trick to reduce the inductance of load supply lines in capacitor bank experiments while getting less resistance. But be carefull: Whenever you reduce the the inductance with such tricks it´s just a deal! You will get a lower inductance by paying this effect with a larger cable capacitance. In most cases this is not a problem. But if you have got a very small capacitance [f.e. C=1nF... 500nF] you should think about the relation of the capacitance of the capacitor and the load supply line capacitance.



this gives us the result


inductance two parallel wires

Inductance of two parallel wires
with current in same direction

- l is the lenght of the wires [m]
- d is the distance between the wires [m]
- r is the radius of the wires
[m]

 

 

1.4 Inductance Calculation of a step wire
(Method by using the Neumann-equation)

In every capacitor bank application one can find inductors in form of steps. If you search for a formula in ingeneer books to get the Inductance of such a "step wire" you surely won´t find one. So I tried to get a formula by using the Neumann-equation.
Let´s assume a wire in the form you can see in the picture on the right. Between the parts l1, l2 and l2, l3 should be a angle around 90 degree. We can describe the parts l1 and l2 in this form:

The distance of a point in l1 and a point in l2 is

inductance step wire
Inductances L1,L2,L3 and mutual Inductances L12,L23,L13 of a "step wire"
l1 and l2, l2 and l3 have to be ......

Now, we can write down the the Integral to calculate the matrix element L13 :Neumann equation

This Integral can be solved analytically in two steps.

so that we get the mutual inductance

The components L12, L21, L23, L32 of the inductance matrix become sero, because of the dot product in the Neumann equation.
The whole inductance is the -.....Norm of the inductance matrix, which is the summ of all the components Lkl :

In the table on the right you can watch the inductances of some geometries. As you may realize the mutual inductance L13 is not that significant. One have to be care of taking L12 twice in the summation to get Lges.

 

2. Inductance of a frame

2.1 Calculation with engineer formulas
In many technical high voltage circles it should be possible to interpolate the wires and bussbars by geometric forms like:
circle, frame, usw..
In the last century many electrical engineers calculated the inductivity of such forms analytically [Neuman equation] the or by using finite elements methods [volume integration methods]. After getting the results they often tried to interpolate the values by special formulas. One of the greatest engineers was Prof. Dr. sc. techn. Eugen Philippow. In my opinion his books about theoretical electrical engineering are one of the bests worldwide. In "Taschenbuch der Elektrotechnik, Band1" one may find a great inductance formula for frames which may be calculated analytical [I calculated the Neuman equation for such a frame and got exactly the same expression ;-)].

inductance of a frame(3.1)
Inductance of a frame [H] a, b, r [m]
T
he diagramms below show the Inductance of a framewire depending on a [m] and b[m]. As you can see it is also possible to assume the Inductance of such frames by linear functions.

Diagramm1: Inductance of frames up to a lenght of 1m
Diagramm2: Inductance of frames up to a lenght of 5 m

2.2 Experimental measurements of Inductnace
With (3.1) it´s quite easy to calculate the inductance of specific frames. But what about the real value? Is the formula really good enough to calculate the real nductance. To get an answer I made some measurements with a 2,8mm diameter copper-wire:

inductance measurements inductance of a frame
Inductance measurement of a frame:
Different sizes of a wireframe were formed. With an LCR-meter the inductance of any frame was captured. Step by step the length b was cutted (each time around 25cm+/-1cm.

Inductance of a frame:
The black curve shows the calculation of the conductance with equ.(3.1). The red line are measured values of inductance. The blue line is the difference of the black and red one. The difference is around 1,8uH and seems to be the result of an systematic failure.

 

3. Low Inductance Dicharge Circles with high voltage high current Coaxial Cables

3.1 Overview

In some Pulsed Power Applications/Experiments any small inducantance of bussbars etc. could become a problem. If the goal is to get the maximum current rise time there are several parameters which could be changed:

1.) Higher voltages with smaller capacitance applications could subsitute applications with low coltage and high capacitance values.
2.) All bussbars and wires should be placed in regard to get as low inductance as possible.
3.) Substitution of the load supply lines by high voltage coaxial cables

Here I only want to discuss the use of high voltage coaxial cables instead of the typical used frame lines described before.
Normally coaxial cabels are used in high frequency technology to transport electromagnetic waves. For pulsed power capacitor banks the transportation of electromagnetic waves is not so important, because of the relative low frequencies (around several 10kHz) while the pulses. It´s quite clear that the lenght of the wires normally used in such experiments are much much longer than the wave lenghts (around 30km!!) calculated with l=c/f.
But never the less coaxial cabels are very interesting for pulsed power experiments. The reason is very simple:
Coaxial cabels have got the minimal Inductance compared with all other kinds of load supply lines (like a frame)!
If you calulate the energy inside R1, R2 and R3 you will get the exact formula of the whole partial inductance of a coaxial cable:

(1.1) Coax Cable
The formula of Kohlrausch is not that exact and assumes that R2 = R3:
(1.2)
Radius R1,R2,R3 of a Coax cable

The High voltage high current coax cable you can watch at the picture on the right side is designed for peak currents of around 20kA and a maximum voltage of ca. 7kV. With the given values of R1,R2,R3 it´s quite easy to calculate the Inductance per meter dL/dt:
The poly

3.2 Inductance calculation of commercial Coaxial Cables by using the speed of light

Comercial coxial cables like the RG-213 etc. have got a specific Radius R1,R2,R3 one may use to calculate out the inductance. In the Datasheets one can find the capacitance per lenght dC/dL. If you know this value it´s quite easy to calculate the differential inductance dL/dl:


Differential Inductance of a coaxial cable

3.3 Maximum operation voltage of Coaxial Cables

Comercial coax cables are designed for HF-transmission of radio frequencies up to 100GHz. Therefore one can find informations like: "Maximum operation voltage: 5000V RMS". If these cables are used as a high voltage DC-cable the maximum voltage is around 5-20 times higher. Let´s think about the field stenght we are dealing with in such a "dissuse". The field outside a "very long" charged up cylindrical wire is sero, because the outer counductor does shield the electrostatic field of the inner conductor.
line charge densityWith the maxwell eqation and the Gauß law we can write:

If the center conductor of a coaxial cable is conected to an high voltage source and the outer conductor is grounded, the inner conductor is charged up with a certain charge Q. We may define a line charge density Lamda:

Now we can calculate the field at the radius r1 of the center conductor

field strenght at the center conductor surface

This field strenght E(r1) is the strongest you can find in the whole room between r1 and r2, which is filled with the dielectric. The electric field between r1 and r2 is

with the potential inside the dielectric

So the potential of the center conductor U(r1) and the outer conductor U(r2) is

It´s easy to calculate the voltage between the center and the outer conductor:

At last we find the maximum voltage of a coaxial cable with respect to the breakdown voltage of the dielectric:

maximum operating voltage

field strenght at the center conductor surface

Polyethylen has got a break down discharge field strength around 75kV/mm. This is really an impressive value compared to other materials (porzellan: 30kV/mm, Epoxid 15kV/mm). In my opinion the most interesting coaxial cables for high voltage experiments are RG 213, RG-218/U and RG-220/U. In the internet you may find datasheets of these cables. The official values of these cables are:

calculted values (not official)
RG 213
RG-218/U
RG-220/U
 
center conductor diameter (mm)
2,26 (7*0,75)
4,95
6,6
Dielectric diameter (mm)
7,24
17,27
23,11
shield diameter (mm)
8,64
19,3
25,15
PVC jacket diameter (mm)
10,29
22,10
28,45
Impedance (Ohm)
50
50
50
Capacitance (pF/m)
101
101
101
operating voltage (RMS, kV)

5

11
14
Comercial coaxial cables RG 213, RG-218/U and RG-220/U

For using these cables in pulse discharge experiments it´s quite important to know the quaerschnitt of the outer and inner conductor, the ohmic resistance, inductance and "inofficial operating DC voltage". The cross section and resistance of the inner conductor an be calculated very easy:

The querschnitt of the outer conductor is not written down in the datasheets. So I decided to cut up 7cm shielding copper of RG-218/U and 10cm of RG213/U. After that I wight them an calculated out the querschnitt and resistance.

 

Now let´s calculate the maximum operating DC voltage with the formula we got before:

As you can see the official operating voltage (RMS) is usually 20 times lower than the absolut maximum voltage in theory. But be carefull. The break down field stenght of 75kV/mm is only right for a perfect material without any microfailures in the dielectric.
A break down discharge in solid materials (PE, PVC, PS usw.) is an event similar to an electrical discharge in gases. Therefore a discharge is triggered by a few start electrons, which do create suddenly new ones like a lawine. Because of this effect a thick isulation may have got a less break down voltage as espected by calculating.

cable
RG 213
RG-218/U
RG-220/U
center conductor (mm^2)
3,09
19,23
34,19
Center conductor resistance (mOhm/m)
7,24
17,27
23,11
shield conductor (mm^2)
8,64
19,3
25,15
shield conductor resistance (mOhm/m)
10,29
22,10
28,45
maximum DC voltage (theoretical, kV)
99
232
309
Inductance with line theory (uH/m)
-
-
-
Inductance calculated (uH/m)

5

11
14

Fazit:

Coaxial cables may be used at much higher voltages as it is written down in the datasheets. In experiments I found out that RG212 is stable to a DC voltage up to 30kV or even more. Therefore I expect RG-218/U could be used up to 100kV DC and RG-220/U up to 130kV/DC. Depending on the discharge frequency these cables may be used in capacitor bank experiments. So it´s a question about reversal voltage and frequency of the pulse discharge , wheather the coaxial cable will withstand this kind of use.
 
 


4. Discharge behavior of the capacitor bank KB1-KB2

4.1 Selfinductance of the used parts

Before I described the methods to calculate the inductance matrix for parallel wires, step wires and frames. In may capacitor banks KB1, KB2 one can find many different wires and cabels. To get the inductance matrix of the whole setup one would have to calculate a 20*20 matrix by hand. This would take too much time. So I decided to build a programm which can calculate the inductance matrix with a certain algorithm. The program is able to combine a set of points [P1(x1/y1/z1), P2 (x2,y2,y2), P3 (x2, y2, z3),...., Pn(xn, yn, zn)] with lines with a defined radius r12, r23, r34,.... r(n-1)n. At first I had to define the positions of the cables. So it´s easy possible to calculate the inductance matrix including all the mutual inductances. By defining different materials (Cu, Al, Fe) and diameters the programm may calculate the whole inductance and resistance of the system.

capacitor bank schematic

4.2 Current distribution of KB1-KB2

Current measurements of the capacitor bank KB1-KB2 usually gives graphs similar to the green line. But what is the current of KB1 and KB2? KB1 has got a capacitance around 50uF, KB2 around 100uF. Are the currents splitted up with the samel relation 1:2 as the capacitance does?
You can watch the real current flow by scrolling over the graph. The blue line shows the current of KB2, the red line KB1.

4.3 Current distribution inside KB2


Because of geometry reasons it´s normally not possible to combine several capacitors (n>4) without getting different inductances in parallel circles. So, what will happen to capacitors inside the capacitor bank KB2?

The plotts on the right show the specific currents of the Capacitors C1-C8. One can find following characteristics:

- The nearer a capacitor is to the connections, the steeper is the current rise

- The peak currents are distributet by magnitude in this sequence : C1, C2, C3, C4, C7, C8, C6, C5
- The peak current of C1 is allways lower than all other peak currents
- The number of maxima is

C1 C2 C3 C4 C5 C6 C7 C8
4 4 3 1 1 1 1 2

- The last capacitor C8 has got not the highest peak current
- The peak currents do never tell anything about the impact caracteristics, which harm the capacitors and reduce life expectation

 


4.4 Simulation of KB1-KB2 and Frequency Analysis with different inductivity loads

By analyzing different discharges of the capacitor bank KB1-KB2 with several load inductances it was possible to figure out a specific resonance frequency.With Fourieranalsysis within the first two periods it´s quite simple to find the "middle period lenght" in this time. By using the Thomson equation
(2.)
one can find a specific inductance, which represents the CLR-System KB1-KB2.
application

load inductance

middle period*
Subs. * inductance Inductance inside KB1-KB2*
normal
9..uH
-
-
-
1 coax
4,8uH
198us
6,6uH
1,8uH
2 coax
3,3uH
172us
5,0uH
1,7uH
The middle period is the period within the first two oszillaitions figured out with Fourieranalysis.
* Subst. Inductance is the Inductance calculated with equ. (2.)
* Inductance inside is the representing the bussbars etc. inside KB1-KB2 without load inductance
The graphs on the right show the real discharge currents and voltages of KB1-KB2 as well as the Discharge behavior of the Substitution CLR-circle.
 

 

Action Integral Simulations




action integral curves

On the right you can watch the results of action integral simulations [also check out this side]. It´s quite interesting that the last capacitor has to withstand around the douple Action value than the second capacitor. The individual capacitors have got a totaly different stress!!

Capacitor Bank number

Actionintegral Capacitors

 

5. Discharge Simulation of a Capacitor Banks with a Sparc Gap Switch

5.1 Toepler´s sparc gap equations

Pulsed power applications with capacitor banks as energy source can be discharged with different kind of switches:
- Sparc gaps
- Mechanical switch
- Ignitrons
- Thyratrons
- Thyristors
- IGBT`s



A traditional sparc gap switch seems to be a very old fashion. But it´s realy not a bad choise. Ignitrons are filled with huge amounds of mercury (around 25-100ml). Thyratrons, Thyristors and IGBT`s are hard to get and do cost a lot of money. A sparc gap is a very strange thing. In the first nanoseconds the resistance is very large. But after building a plasma channel between the two electrodes, the sparc resistance is dropping down very fast depending on the charge flow which went throw the gap.

To understand this phenomena let´s assume a cpacitor discharge circle with the following parts:
High voltage storage capacitor (capacitance C)
, Sparc Gap (resistance RSG(t)), cable inductance L and a resistance R.
Without the
Sparc Gap resistance RSG(t) the discharge circle would oscillate without losing energy in this switch. All the energy stored in the capacitor would be transfered to the resistor R, which would become hot. But with a sparc gap, we also have to think about the resistance RSG(t).
The capacitor is charged up to several kilovolts (storage energy around some kJ). While closing the spark gap switch a sparc between a and b will cause a plasma. If we assume no recombination of the created ions and electrons, the resistance will drop down, because of the charged particles in the plasma. Maximilian Toepler found a formula which describes thris relations in an easy way:

Toeplersches Funkengesetz

Toeplersches Funkengesetz

k is a constant depending on the voltage between a and b. H.
Müller
and Mayr figured out the value of k in many experiments. l is the diastance between the two electrodes in [cm]

If you think about formula (1) it´s clear that it´s not possible to use this formula in numeric simualtions. At the time t=0 one will get a resistance which is infinity:

If you would implement formula (1) in a simulation, the current never could crow up, which does not represent the reality. With a small modification it´s possible to use formula (1). Let´s set the boundary condition that R0=1GO, U0=6kV, l=0,2cm. if we assume a small start charge q0 we get:

T he value q0 is equal to arround 1 Million free electrons in the sparc gap switch. So for my simulations of the capacitor banks KB1, KB2, KB3 I will use the equation
sparc gap resistance

To be moore flexible I tried to interpolate the Graph of k. So it´s possible to get formulas for any voltage, you want to use in a simulation.

The graph above shows the sparc constant k measured by H.Müller (F.Früngel, Impulstechnik, Erzeugung und Anwendung von Kondensatorentladungen, Technisch-Physiklische Monographien). The graph on the right is fitted with a polynome-function to get a formula whitch describes k(U):

(The voltage is has to be used in [kV], not [V] here)

Abb.4.1: k-faktor depending on sparc gap voltage

Abb.4.2: Brake Down Distance of spherical sparc gaps (spheres 25mm diameter)

Abb.4.3: Brake Down Voltage of spherical sparc gaps (spheres 25mm diameter)

Abb. 4.2 presents the Discharge Distance of spherical sparc gaps (spheres 25mm diameter) I got from array presented in Impulstechnik, Erzeugung und Anwendung von Kondensatorentladungen. The best fitt I achieved was a third grade polynom in the intervall U=[4kV-45kV]:

Brake Down Distance Function of Sparc Gaps
U has to be used in [kV] to get the distance in [cm], U has to be [4kV...45kV]

If it´s nescesarry to know the maximum break down voltage, one could use this formula:

Breake Down Voltage Function of Sparc Gaps
d has to be used in [cm] to get the voltage in [cm], d has to be [0,1cm... 2,0cm]

 

Abb.4.4: f-factor in correlation with sparc gap voltage

Abb. 4.4 shows the graph of the f-factor, which I defined as the product of k and l:

The best polynom as a fit of f(U) is:
f-factor of Sparc Gaps
U has to be used in [kV] to get f as [C/Ohm]
With this relation I got a generell modified formula of the sparc gap resistance:
It looks nicer when it´s written as:

Sparc Gap Resistance Equation

- RSG(t) is the resistance of a sparc gap in [Ohm],
- RSG0 is the starting resistance of the sparc gap in [Ohm],
- U0 is the starting voltage in [kV], which is equal to the capacitor voltage U(t=0)

 

 


5.2 Coupled Differential equations

In the following array we can summarise all the founded equations.

differential equations

5.3 Numerical solutions and simulations

6. Conculsion and Improvements

---->> moore will come soon...........................

last update: October 2012

 

 
  Copyright Max Bigelmayr